Publicētā informācija ir personas dati. Šos datus drīkst izmantot godprātīgi un tikai likumā noteiktajiem mērķiem. Persona, kas turpmāk izmanto personas datus, uzņemas atbildību kā datu pārzinis saskaņā ar Vispārīgo datu aizsardzības regulu.

Lūdzam ievērot datu aizsardzības principus un rīkoties atbildīgi!

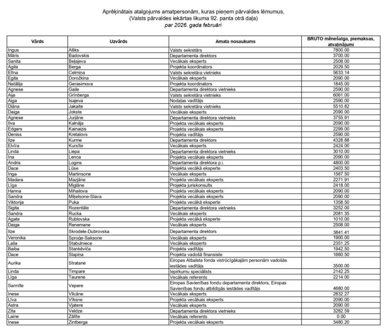
nodarbinato saraksts amatpersonu atalgojums septembrim
nodarbinato saraksts amatpersonu atalgojums septembrim

 

(bruto, euro)

Amatu grupa

Amata vietu skaits2

Mēnešalgas diapazons3
(no–līdz)

Vidējā mēnešalga

amatu saime, apakšsaime, līmenis vai amata kategorija, līmenis1

amata
nosaukums

1

2

3

4

5

 

Parlamentārais sekretārs

1

6804

6804

1.1. V

Valsts sekretārs

1

5750

5750

1.1. IV

Valsts sekretāra vietnieks

3

5094

5094

2. V

Iepirkumu speciālists

1

2026

2026

2. IV

Iepirkumu speciālists

1

1490

1490

3. II

Saimniecības vadītājs

1

1508

1508

9. VA

Nozares padomnieks

2

2405–2425

2415

15.1. VB

Direktors

1

3463

3463

15.1. IVA

Direktora vietnieks

2

2827

2827

15.1. III

Vadošais finansists

2

1734–1826

1780

15.1. II

Projekta vadošais finansists

5

1490–1693

1652

15.1. II

Vadošais finanšu analītiķis

2

1796

1796

15.1. II

Vadošais finansists

2

1490–1770

1630

17. VII

Direktors-galvenais grāmatvedis

1

3242

3242

17. VI

Direktora vietnieks

1

2514

2514

17. V

Vadošais grāmatvedis

3

1908

1908

17. IV

Vadošais grāmatvedis

5

1490–1693

1571

17. IV

Vadošais grāmatvedības speciālists

1

1796

1796

17. IV

Projekta vadošais grāmatvedības speciālists

1

1615

1615

17. III

Projekta vadošais grāmatvedības speciālists

8

1390

1390

18. V

Direktors

1

3104

3104

18. IVB

Direktora vietnieks

1

2514

2514

18. III

Vadošais auditors

3

1961

1961

19. IIIA

Personas datu aizsardzības speciālists

1

2031

2031

19. IIIB

Iekšējās drošības pārvaldnieks

1

2884

2884

20.3. III

Lietvedības pārzinis

2

1590

1590

21.3. III

Direktors

1

3403

3403

21.3. III

Projekta vadītājs

1

3403

3403

21.3. II

Direktora vietnieks

2

3093–3242

3168

21.4. IV

Vadošais biznesa procesu analītiķis

1

2850

2850

21.4. III

Vadošais IS sistēmanalītiķis

6

2100–2884

2361

21.4. III

Projekta IS sistēmanalītiķis

3

2100

2100

21.4. III

Informācijas un komunikācijas tehnoloģiju procesu pārvaldības vadītājs

1

3149

3149

21.4. III

Informācijas sistēmu izstrādes eksperts

1

2100

2100

21.5. III

Vecākais datorsistēmu un datortīklu administrators

1

1590

1590

21.6. III

Informācijas sistēmas uzturētājs

3

1635–1826

1732

21.6. III

Lietotāju atbalsta speciālists

1

1826

1826

21.7. III

Informācijas sistēmu drošības pārvaldnieks

1

3093

3093

21.9. II

Informācijas sistēmu testētājs

2

1635–1826

1731

24. VA

Direktors

1

3104

3104

24. IV

Direktora vietnieks

1

2929

2929

24. III

Vadošais juriskonsults

9

1900–2031

1943

24. III

Juriskonsults

1

2129

2129

24. II

Juriskonsults

2

1734–1826

1780

24. II

Projekta juriskonsults

2

1635

1635

26. IVA

Nodaļas vadītājs

1

2514

2514

26. III

Vadošais sabiedrisko attiecību speciālists

1

1961

1961

26. II

Sabiedrisko attiecību speciālists

2

1590–1693

1642

27. IV

Ministra biroja vadītājs

1

3883

3883

27. III

Ministra padomnieks stratēģiskās komunikācijas un sabiedrisko attiecību jautājumos

1

3555

3555

27. III

Ministra padomnieks komunikācijas jautājumos

1

3252

3252

27. III

Ministra padomnieks sociālās uzņēmējdarbības un nozares infrastruktūras attīstības jautājumos

1

3104

3104

27. I

Ministra palīgs

1

1518

1518

28.1. IV

Vecākais eksperts

4

2031

2031

28.1. III

Vecākais referents

4

1826

1826

28.1. III

Vadošais juriskonsults

2

2026

2026

34. V

Direktors

1

3104

3104

34. III

Direktora vietnieks

1

2514

2514

34. III

Stratēģiskais personāla vadības partneris

1

2031

2031

34. IIA

Vadošais personāla speciālists

4

1490–1693

1617

34. I

Projekta personāla speciālists

3

1390

1390

36. II

Referents

1

1390

1390

37. IVA

Direktors

8

3104–3252

3178

37. III

Direktora vietnieks

10

2514–2929

2629

37. III

Vadošais eksperts

2

2425

2425

37. III

Vecākais eksperts

2

2425

2425

37. IIA

Vecākais eksperts

65

1900–2245

2021

37. IIA

Projekta vecākais eksperts

1

2031

2031

37. I

Vecākais referents

2

1490–1693

1592

39.1. VI

Projekta vadītājs

1

3001

3001

39.1. V

Projekta vadītājs

1

2514

2514

39.1. IVA

Projekta vadītājs

5

2098–2514

2383

39.1. IVB

Projekta vecākais eksperts

23

1900–2031

1982

39.1. III

Projekta koordinators

9

1734–1908

1815

39.1. I

Projekta vadītāja asistents

1

1488

1488

39.2. V

Eiropas Savienības fondu departamenta direktore, Eiropas Savienības fondu atbildīgās iestādes vadītāja

1

3252

3252

39.2. V

Eiropas Atbalsta fonda vistrūcīgākajām personām vadošās iestādes vadītājs

1

3110

3110

39.2. IV

Departamenta direktora vietnieks

2

2929

2929

39.2. IV

Vadošais eksperts

1

2490

2490

39.2. III

Vecākais eksperts

20

1900–2129

2020

39.2. II

Vecākais referents

1

1908

1908

42. III

Valsts sekretāra palīgs

1

1744

1744

46.1. II

Automobiļa vadītājs

2

1180–1231

1206

Piezīmes.

1 Norāda amatu saimes un apakšsaimes numuru un nosaukumu, kā arī attiecīgā līmeņa numuru. Par pedagogiem un zinātnisko institūtu akadēmiskajos amatos nodarbinātajiem 1. aili neaizpilda.

2 Ja institūcijā attiecīgajā amatu saimē vai amata kategorijā ir klasificēti vairāki amati ar vienādu nosaukumu, norāda to kopskaitu, neizdalot katru atsevišķi.

3 Ja institūcijā attiecīgajā amatu saimē vai amata kategorijā ir klasificēti vairāki amati ar vienādu nosaukumu, 4. ailē norāda attiecīgo amatpersonu (darbinieku) zemāko un augstāko mēnešalgu. Ja attiecīgajā amatu saimē vai amata kategorijā amats ar konkrēto nosaukumu ir viens, 4. un 5. ailē norāda attiecīgās amatpersonas mēnešalgu.

1. tabula

Informācija par piemaksām, prēmijām un naudas balvām

Nr. p. k.

Piemaksas vai prēmijas veids, naudas balva

Piemaksas, prēmijas vai naudas balvas apmērs
(euro vai %)

Piešķiršanas pamatojums vai kritēriji

1

2

3

4

1.

Piemaksa par papildus pienākumu pildīšanu

Līdz 30%

Valsts un pašvaldību institūciju amatpersonu un darbinieku atlīdzības likuma 14.panta pirmā daļa

2.

Piemaksa par prombūtnē esošas amatpersonas (darbinieka) aizvietošanu

Līdz 30%

Valsts un pašvaldību institūciju amatpersonu un darbinieku atlīdzības likuma 14.panta pirmā un trešā daļa

3.

Piemaksa par nozīmīgu ieguldījumu ministrijas stratēģisko mērķu sasniegšanā

Līdz 30%

Valsts un pašvaldību institūciju amatpersonu un darbinieku atlīdzības likuma 14.panta divpadsmitā daļa

4.

Piemaksa par jauno nodarbināto darbā ievadīšanu

Līdz 10%

Valsts un pašvaldību institūciju amatpersonu un darbinieku atlīdzības likuma 14.panta pirmā daļa

5.

Prēmija par novērtējumu

Līdz 75%

Saņemts novērtējums “teicami”

Līdz 65%

Saņemts novērtējums “ļoti labi”

Līdz 55%

Saņemts novērtējums “labi”

 

6.

Naudas balva

Nepārsniedz nodarbinātajam noteiktās mēnešalgas apmēru kalendārā gada ietvaros

Valsts un pašvaldību institūciju amatpersonu un darbinieku atlīdzības likuma 3.panta ceturtās daļas 5.apakšpunkts

 

2. tabula

Informācija par sociālajām garantijām

Nr. p. k.

Sociālās garantijas veids

Sociālās garantijas apmērs (euro vai %)

Piešķiršanas pamatojums vai kritēriji

1

2

3

4

1.

Atvaļinājuma pabalsts

Līdz 50%

Valsts un pašvaldību institūciju amatpersonu un darbinieku atlīdzības likuma 3.panta ceturtās daļas 8.apakšpunkts

2.

Pabalsts nodarbinātajam, kura apgādībā ir bērns ar invaliditāti līdz 18 gadu vecumam

750 euro apmērā reizi kalendāra gadā

Valsts un pašvaldību institūciju amatpersonu un darbinieku atlīdzības likuma 3.panta ceturtās daļas 7.apakšpunkts

3.

Pabalsts sakarā ar ģimenes locekļa vai apgādājamā nāvi

Vienas minimālās mēnešalgas apmērā

Valsts un pašvaldību institūciju amatpersonu un darbinieku atlīdzības likuma 20.pants

 

4.

Veselības apdrošināšana

Polises prēmija nepārsniedz pusi no normatīvajos aktos par iedzīvotāju ienākuma nodokli noteiktā apmēra.

Atbilstoši piešķirtajiem finanšu līdzekļiem, veicot publisko iepirkumu. Veselības apdrošināšanas polisi izsniedz nodarbinātajam, kurš ministrijā nostrādājis vismaz sešus mēnešus

5.

Redzes korekcijas līdzekļu iegādes izdevumu kompensācija

100 euro reizi trīs gados

Labklājības ministrijas noteikumu Nr. 14/NOT “Kārtība kādā veicama obligātā veselības pārbaude” 25.punkts.